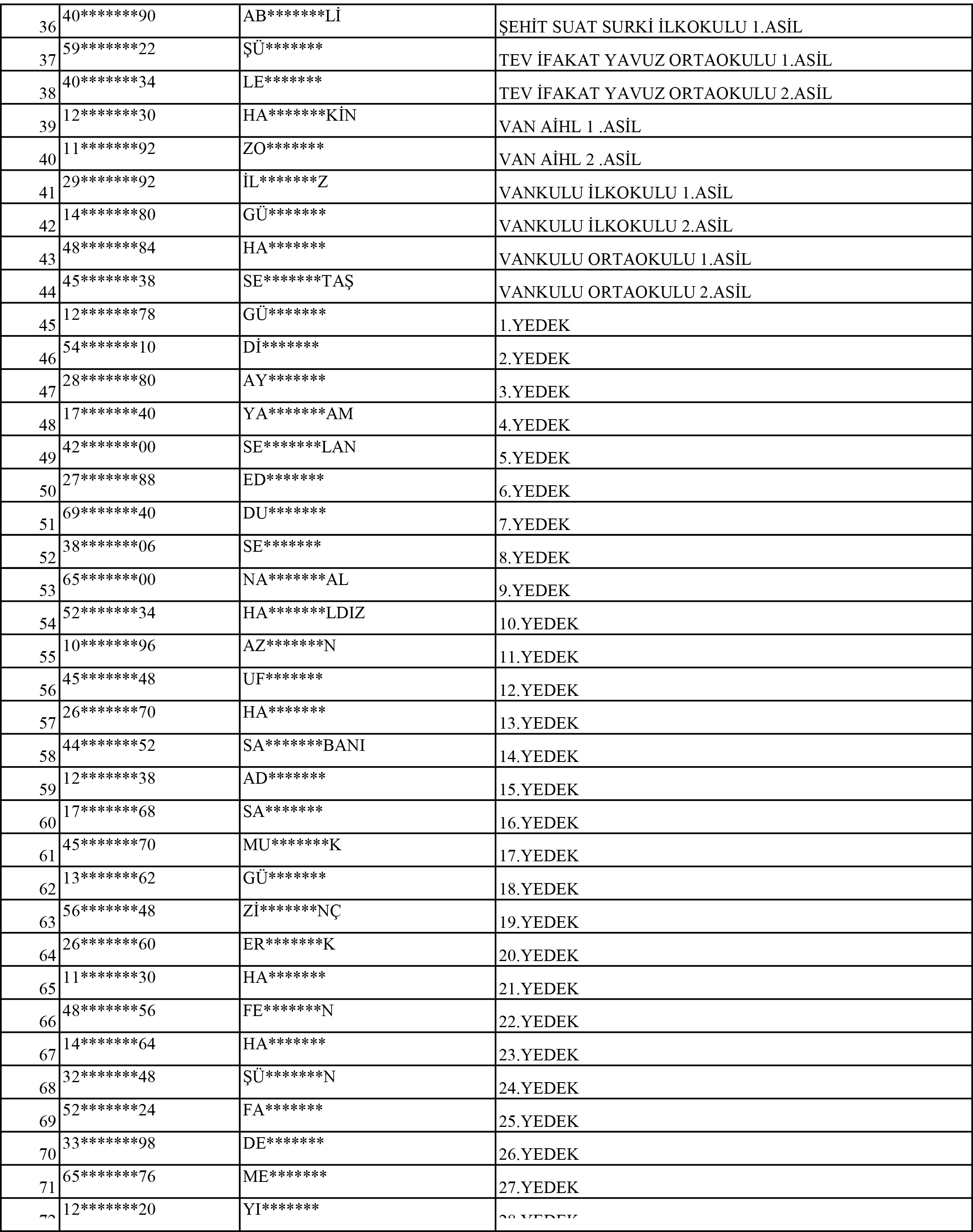
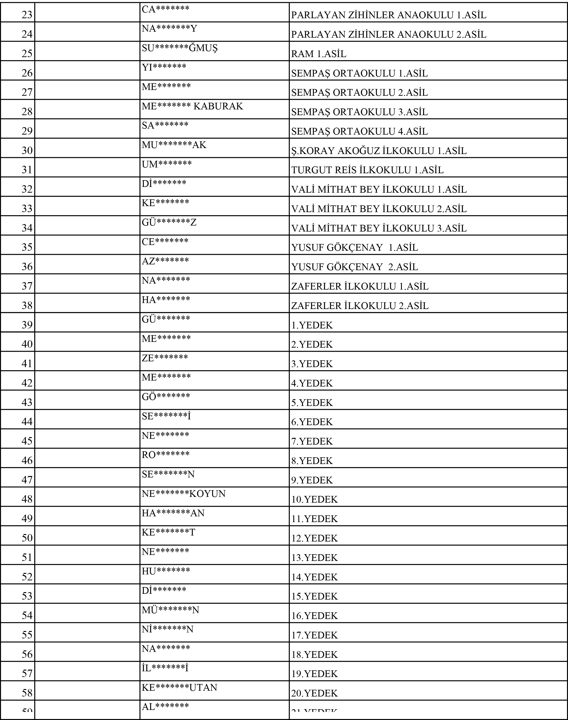
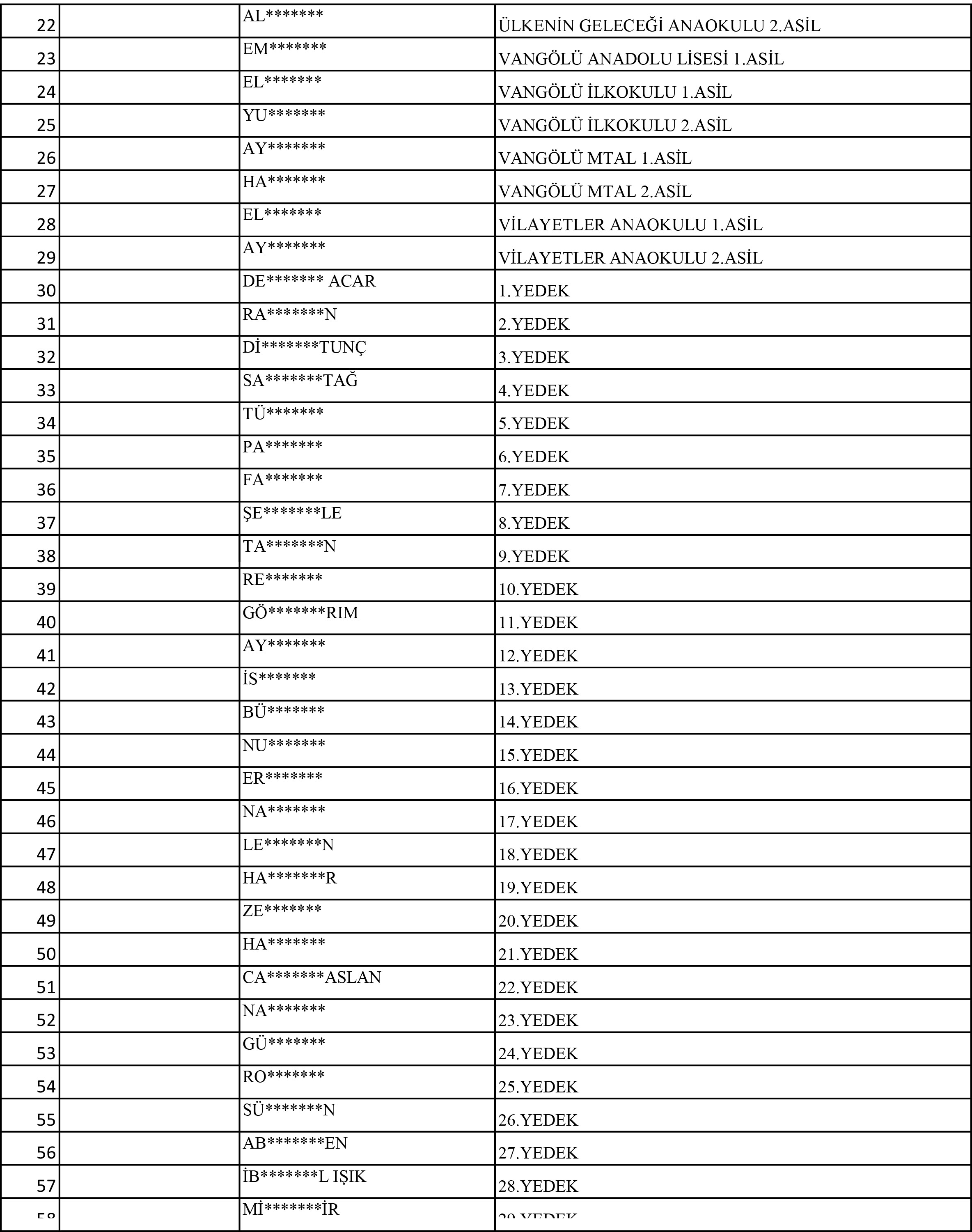
İŞKUR, TYP programı kapsamında Van’daki okullarda istihdam edilecek olan kişiler için kura çekimi yapıldı. Van İpekyolu, Tuşba, Edremit ve Erciş ilçeleri için kura çekimi yapılırken noter kurası ile alınacak asil ve yedek isim listeleri belli oldu. İşte Van İŞKUR TYP isim listesi...
İPEKYOLU, TUŞBA, EDREMİT VE ERCİŞ TYP KURA ÇEKİMİ SONUÇLARI BELLİ OLDU
Milli Eğitim Bakanlığı, İŞKUR TYP programı kapsamında Van’daki okullarda istihdam edilmek üzere temizlik ve güvenlik görevlisi alımı yapacağını duyurmuştu. Van İpekyolu, Tuşba, Edremit ve Erciş’teki okullara alınacak asil ve yedek kişilerin kurası noter huzurunda çekildi.
AYRICA, DİĞER İLÇELERİN TYP SONUÇLARI HENÜZ AÇIKLANMAMIŞ OLUP LİSTELER AÇIKLANDIĞINDA SİTEMİZDEN ANLIK OLARAK ÖĞRENEBİLECEKSİNİZ.
EDREMİT VE ERCİŞ TYP İSİM LİSTELERİ İÇİN TIKLAYINIZ
İPEKYOLU TYP İSİM LİSTESİ
















































